컨텐츠로 건너뛰기
검색
뉴시스 언론사 이미지

대사이상 지방간질환자, 근력 약하면 심혈관질환 위험 증가

뉴시스 이준구
원문보기

대사이상 지방간질환자, 근력 약하면 심혈관질환 위험 증가

서울맑음 / -3.9 °
용인세브란스병원 연구팀, 20만 명 데이터 13년 추적
[용인=뉴시스]연세대용인세브란스병원 연구진(사진=용인세브란스병원 제공)2025.04.02.photo@newsis.com

[용인=뉴시스]연세대용인세브란스병원 연구진(사진=용인세브란스병원 제공)2025.04.02.photo@newsis.com


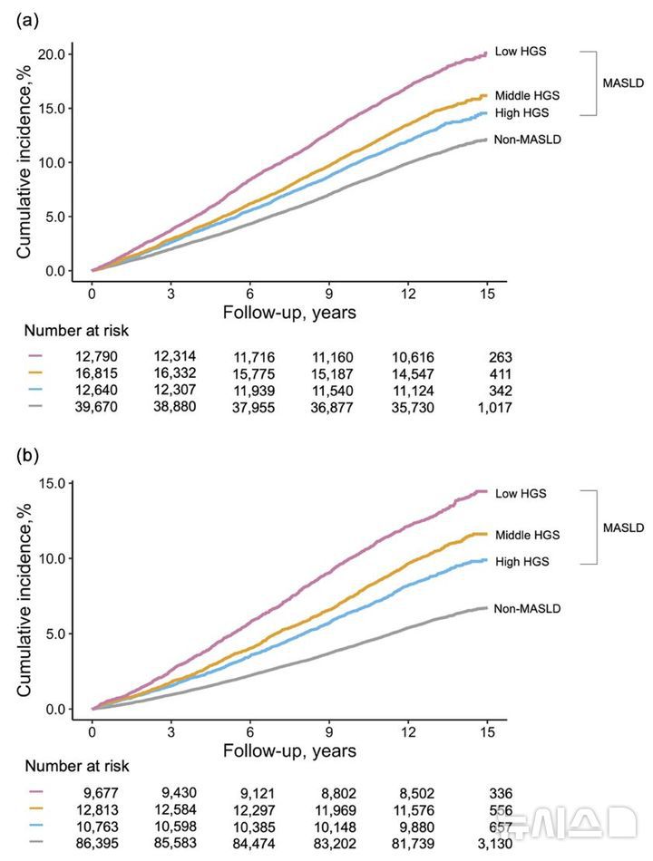
[용인=뉴시스] 이준구 기자 = 연세대학교 용인세브란스병원은 소화기내과 임태섭·내분비내과 김경민 교수 연구팀이 대사이상 지방간질환 환자의 악력이 약할수록 심혈관질환 발생 위험이 커진다는 사실을 대규모 장기 추적 데이터 분석을 통해 입증했다고 2일 밝혔다.

대사이상 지방간질환(MASLD)은 비만, 고혈압, 고지혈증, 당뇨 등의 대사이상이 있으면서 간 내에 지방이 과다하게 축적된 상태로, '비알코올성 지방간'으로 불리던 질환이다. 전 세계 인구 3명 중 1명에게 대사이상 지방간질환이 있다고 알려져 있다.

심혈관 질환은 대사이상 지방간질환에서 사망의 가장 큰 원인을 차지하기 때문에 심혈관 질환 고위험군을 찾는 것은 매우 중요하다. 연구팀은 대사이상 지방간질환에서 근력에 따라 실제 심혈관 질환의 발생 위험이 달라지는지 종단적 연구를 통해 규명해보고자 했다.

이 연구에는 영국 바이오뱅크(UK Biobank) 수검자 약 20만 명의 데이터를 활용, 근력 측정에는 전신 근력과 깊은 연관이 있는 악력을 활용했다. 대사이상 지방간질환은 간에 지방증이 있으면서 대사이상 요소 중 하나 이상을 갖고 있을 때로 정의하고, 심혈관 질환 발생은 국제질병분류 코드(ICD-10)의 진단명을 따랐다.

대사이상 지방간질환이 있는 수검자를 낮은 악력, 중간 악력, 높은 악력으로 나눴고 대사이상 지방간질환이 없는 수검자와 함께 심혈관 질환 발생의 차이를 분석하는 방법을 사용했다.

평균 13년 1개월의 추적 관찰 결과, 심혈관 질환 발생 위험은 대사이상 지방간질환이 없는 집단에서 가장 낮았다. 또 대사이상 지방간질환이 있는 집단 가운데 높은 악력, 중간 악력, 낮은 악력 순으로 남녀 모두에게 심혈관 질환 발생 위험이 컸다.


다변량 분석을 통해 심혈관 질환 발생 위험 비율(Hazard ratio)을 확인한 결과 대사이상 지방간이 없는 집단과 비교해 대사이상 지방간을 보유한 남성은 높은 악력(1.03), 중간 악력(1.14), 낮은 악력(1.38) 순서로, 여성은 높은 악력(1.07), 중간 악력(1.25), 낮은 악력(1.56) 순으로 심혈관 질환 발생 위험이 커졌다는 것을 밝혀냈다.

임태섭 교수는 "이번 연구 결과는 근력 저하가 대사이상 지방간질환의 주요 사망 원인인 심혈관 질환의 발생 위험을 높일 수 있으며, 이 환자군에서 근력 관리가 중요하다는 점을 시사한다"라며 "앞으로 실제 근력을 강화하는 중재를 통해 심혈관 질환 예방 효과가 있는지를 확인하는 추가 연구가 필요하며, 이번 연구가 그 근거로 활용될 수 있을 것"이라고 말했다.

김경민 교수도 "그동안 다양한 연구들이 근감소증의 임상적 중요성을 강조했다. 이번 연구는 지방간 환자도 근력 유지 및 향상을 위한 노력이 중요하다는 것을 다시 한 번 시사한다"며 "노화 과정에서 근력과 근육량은 어쩔 수 없이 감소하지만, 적절한 영양 섭취와 꾸준한 운동을 통해 이를 유지하기 위한 노력은 건강유지에 필수적"이라고 강조했다.


연구 결과는 국제 학술지 'Journal of Cachexia, Sarcopenia and Muscle(IF 9.4)'에 최근 게재됐다.

[용인=뉴시스]연구결과 그래프(사진=용인세브란스병원 제공)2025.04.02.photo@newsis.com

[용인=뉴시스]연구결과 그래프(사진=용인세브란스병원 제공)2025.04.02.photo@newsis.com



☞공감언론 뉴시스 caleb@newsis.com

▶ 네이버에서 뉴시스 구독하기
▶ K-Artprice, 유명 미술작품 가격 공개