125년간 프로 체스경기 분석한 결과
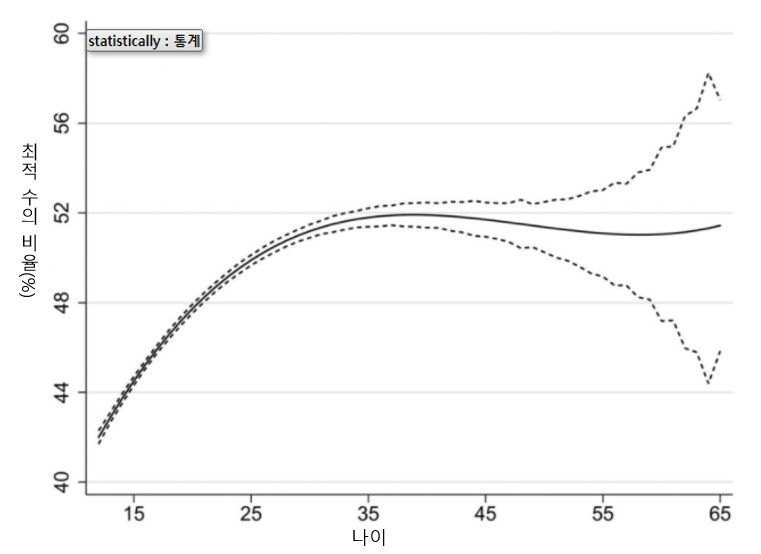
20대 초반 급상승한 뒤 35세에 정점
이후 횡보세 보이다 45세 이후 하락
사람의 일생은 생장성쇠의 곡선 그래프를 그려가는 과정이다. 시기가 다를 뿐 어느 순간 정점을 찍고 쇠락해가는 패턴은 신체 능력이나 정신 능력이나 마찬가지다.
물리적 힘을 쓰는 근육은 25세, 골밀도는 30세 전후를 정점으로 이후 하락 곡선을 그리는 것으로 알려져 있다. 매일매일 다양하고 복잡한 정보를 시시각각 처리해야 하는 우리 뇌의 인지 능력은 일생 동안 어떤 패턴을 보일까?
프랑스 파리이공과대, 독일 뮌헨대, 네덜란드 에라스무스대 공동연구진이 체스(서양장기) 선수들의 경기력을 모델로, 사람의 일생에 걸친 인지 능력 변화를 분석한 연구 결과를 11월3일 발행된 미국 국립과학원회보(PNAS)에 발표했다.
20대 초반 급상승한 뒤 35세에 정점
이후 횡보세 보이다 45세 이후 하락
2018년 베를린에서 열린 월드컵 토너먼트 경기의 한 장면. 체스는 복잡한 인지 작업 패러다임을 갖고 있는 경기다. 뮌헨대 제공 |
사람의 일생은 생장성쇠의 곡선 그래프를 그려가는 과정이다. 시기가 다를 뿐 어느 순간 정점을 찍고 쇠락해가는 패턴은 신체 능력이나 정신 능력이나 마찬가지다.
물리적 힘을 쓰는 근육은 25세, 골밀도는 30세 전후를 정점으로 이후 하락 곡선을 그리는 것으로 알려져 있다. 매일매일 다양하고 복잡한 정보를 시시각각 처리해야 하는 우리 뇌의 인지 능력은 일생 동안 어떤 패턴을 보일까?
프랑스 파리이공과대, 독일 뮌헨대, 네덜란드 에라스무스대 공동연구진이 체스(서양장기) 선수들의 경기력을 모델로, 사람의 일생에 걸친 인지 능력 변화를 분석한 연구 결과를 11월3일 발행된 미국 국립과학원회보(PNAS)에 발표했다.
연구진이 내린 결론은 사람의 인지 능력은 35세에 정점을 찍고 이후 상당 기간 최고 수준을 유지하다 45세 이후에 서서히 감소한다는 것이다. 1890년부터 2014년까지 125년간 열린 2만4천회의 프로 체스 경기 내용을 분석한 결과다.
연구진이 소개한 기존 연구 결과들에 따르면 정보 처리 속도, 기억력, 시각화, 추론 등과 관련한 능력은 나이가 들어가면서 떨어지는 반면, 경험과 지식에 기반한 일에 관한 능력은 50세 넘어서까지도 좋아진다. 전문가들의 경우엔 특히 연습, 훈련이 큰 비중을 차지한다. 최근엔 어떤 일의 성과를 결정하는 데는 지능과 연습이 함께 어우러져 상호작용하면서 영향을 미친다는 연구 결과도 나왔다.
연령별 인지 능력의 변화 곡선. PNAS |
_______
체스를 분석 대상으로 삼은 이유
이렇게 다양한 요소들로 구성된 인지 능력의 변화 양상을 사람의 일생에 걸쳐 종합적으로 들여다볼 수 있는 대상으로 체스를 선택한 이유는 뭘까? 연구진은 몇가지 이유를 꼽았다. 우선 체스는 지각과 기억, 문제해결 능력이 모두 동원되는 복합적 인지 과정을 거친다. 둘째는 체스를 잘 하려면 타고난 지능뿐 아니라 훈련과 경험도 필요하다. 셋째는 체스 기록은 개인의 실력을 측정하는 데 필요한 정확하고 객관적 자료를 제공해줄 수 있다. 넷째는 선수들은 장기간에 걸쳐 대회에 참가하기 때문에 선수들의 누적 성적을 분석하면 연령에 따른 변화를 관찰할 수 있다.
분석 결과 체스 선수들의 실력은 일생에 걸쳐 `혹' 모양의 패턴을 보여준다. 연구진은 “대부분의 선수들은 실력이 20대 초반까진 가파르게 상승한 뒤 답보 상태를 보이다 35세 무렵 정점을 찍는다”며 “이후 대략 10년간 최고 수준의 실력을 유지하다 45세 이후 서서히 저하된다”고 밝혔다.
연구진은 125년간 치러진 체스 토너먼트 경기에서 각각의 선수들이 둔 160만개의 수를 컴퓨터가 계산한 최적의 수와 비교한 뒤, 선수 개인의 인지 능력이 나이가 들어가면서 어떻게 변하는지를 그래프로 표시했다. 20명의 세계 챔피언, 이들과 대적한 4274명을 합쳐 모두 4294명의 그래프를 완성했다. 초대 세계 체스챔피언에서부터 2010년대 챔피언까지 모든 챔피언을 분석 대상에 포함시켰다.
체스 선수들의 출생시기별 실력 비교. PNAS |
_______
갈수록 좋아지는 선수들 실력...디지털 기술 발전 영향 커
이번 연구에서 드러난 또 다른 특징은 선수들의 실력이 20세기를 지나오면서 꾸준히 좋아졌다는 점이다. 1970년대 이후에 태어난 선수들은 1870년대 무렵에 태어난 선수들보다 인지 능력이 8% 가량 높았다. 특히 1990년대에 실력 향상이 뚜렷했다. 연구진은 이는 디지털 기술의 부상과 궤를 같이한다고 밝혔다. 연구진의 일원인 우베 순데 뮌헨대 교수(경제학)는 “연구 결과를 보면 디지털 기술이 급속하게 발전하는 조건에서 자라난 현대인들이 인지 능력 발달에서 결정적으로 유리하다는 걸 알 수 있다”고 말했다. 1990년대에 실력이 크게 좋아진 것은 새로운 정보기술과 함께 성능 좋고 저렴한 가정용 피시의 체스 프로그램 덕분에 많은 이들이 체스에 쓸모 있는 지식을 습득할 수 있게 된 것과 맥락을 같이한다고 연구진은 설명했다.
이번 연구의 한계는 체스 선수들이 대체로 특정 연령대에 들어서면 토너먼트 참가를 단념한다는 사실이다. 연구진은 이를 `선택 효과'라고 불렀다. 순데 박사는 “선택 효과는 50세 정도부터 시작된다”며 “만약 선수들이 중단 없이 평생 동안 경기에 정기적으로 참가한다면 선택 효과의 영향이 줄어 전체적인 인지 능력 곡선이 다소 빠른 속도로 떨어질 것”이라고 말했다. 따라서 “인지 능력 그래프를 일반인들에게 그대로 적용하기는 어려우며, 그보다는 인지 능력의 꼭지점을 보여주는 데 더 의미가 있다”고 그는 설명했다.
이번 연구 결과를 따른다면 이미 35세라는 분기점을 넘은 사람들은 인지 능력을 더 높일 수 있는 시기는 지나간 셈이다. 그러나 연구진은 “신경세포가 모여 있는 뇌의 회백질을 계속해서 규칙적으로 훈련시킨다면 뇌는 더 오랫동안 왕성한 상태를 유지하는 것으로 보답해줄 수 있다”고 말했다.
곽노필 선임기자 nopil@hani.co.kr, ▶곽노필의 미래창 바로가기
▶더불어 행복한 세상을 만드는 언론, 한겨레 구독하세요!
▶코로나19 기사 보기▶‘2020년 미국 대선’ 기사 보기
[ⓒ한겨레신문 : 무단전재 및 재배포 금지]
